In this post let us apply the HMO theory to see how and why benzene is aromatic i.e why does this molecule have that extra stability compared to other molecules with double bonds.
Benzene has three π bonds i.e 6 π electrons. Let us see how aromaticity of this molecule can be understood.
Aromaticity of benzene can be explained by two approaches –
A] By MO method.
B]By thermodynamic calculations.
A] MO method(Theoretical explanation).
The energies of the 6 π orbitals of benzene(computed by HMO method) can be shown as follows –

As seen in the figure above , the six electrons occupy the lower energy bonding orbitals, Ψ1 , Ψ2, Ψ3.
There are two electrons in each of the bonding orbitals. The total energy of these six electrons can be calculated as follows –
[2(α+2β) + 4(α+β)] = 2α + 4β + 4α + 4β = 6α + 8β … only bonding.
If we consider three independent double bonds (each double bond with 2 π electrons) , then the energy of 6 electrons would be – 6α + 6β. We consider a hypothetical molecule cyclohexatriene.

∴The difference in energy = 6α + 8β –6α + 6β = 2β.
The difference 2β is the resonance energy of benzene. As β is a negative number, 2β energy difference means benzene has less energy than the hypothetical molecule. Thus, benzene is more stable than expected. For benzene this energy = 36 kcal/mol.
B] Thermodynamic Calculations(Experimental explanation).
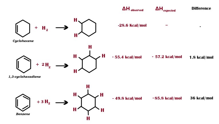
(We have already seen this in post #107.I am explaining it again in this post).In this method heat of hydrogenation(ΔH) are calculated for cyclohexene,1,3-hexadiene and benzene. All these molecules on hydrogenation give cyclohexane.

All the above three compounds are hydrogenated i.e hydrogen is added across the double bond in the molecule.Hydrogenation across the double bond is always an exothermic reaction i.e heat is released during the process. Thus, ΔH values are negative.

Note that , less energy means more stability.
Look closely at the values of ΔH. If 28.6 kcal/mol energy is released after hydrogenating one double bond,
i) then for hydrogenating two double bonds in 1,3-cyclobutadiene , the energy released must be 28.6 × 2 = 57.2 kcal/mol. But the observed value is 55.4 kcal/mol as seen in the figure above. Thus, the energy of this molecule is less than expected and thus it is more stable(this stability is due to conjugation of the double bonds).It is stable by
57.2 – 55.4 = 1.8 kcal/mol.
ii) similarly for three double bonds in benzene , the energy released after hydrogenation ,must be 28.6 × 3 = 85.8 kcal/mol. However, the observed value of ΔH is 49.8 kcal/mol. So, benzene has very less energy than expected and thus it is very very stable. It is stable by ,
85.8-49.8 = 36 kcal/mol. This is the resonance energy of benzene !!
Thus, benzene is thermodynamically a very stable molecule.
We will continue our discussion on benzene in the next post too. Till then ,
Be a perpetual student of life and keep learning ….
Good day !